Skip to content

Conversation

@teunbrand
Copy link
Collaborator

@teunbrand teunbrand commented Jan 7, 2025

This PR aims to fix #6259 and fix #4174.

Briefly, the discrete position scales get a new argument continuous.limits which controls what range is displayed.
It always acts as 'zoom limits', similar to limits set in the coord or continuous limits with oob = scales::oob_keep().

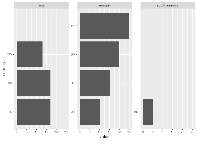
Reprex from #4174:

devtools::load_all("~/packages/ggplot2")
#> ℹ Loading ggplot2
df <- data.frame(
  stringsAsFactors = FALSE,
  continent = c("europe","europe","europe",
                "europe","asia","asia","asia","south america"),
  country = c("AT", "DE", "DK", "ES", "PK", "IN", "TW", "BR"),
  value = c(10L, 15L, 20L, 25L, 17L, 17L, 13L, 5L)
)

p <- df |>
  ggplot() +
  geom_col(
    aes(y = country, x = value),
    orientation = "y"
  ) +
  facet_wrap(vars(continent), scales = "free_y")

p + scale_y_discrete(continuous.limits = c(1, 4))

Created on 2025-01-07 with reprex v2.1.1

@teunbrand
Copy link
Collaborator Author

I now also believe this would be needed for #3441 to make copies of discrete scales with immutable ranges.

@teunbrand

This comment was marked as resolved.

Copy link
Member

@thomasp85 thomasp85 left a comment

Choose a reason for hiding this comment

The reason will be displayed to describe this comment to others. Learn more.

LGTM

@teunbrand teunbrand merged commit 97edd62 into tidyverse:main Jan 21, 2025
13 checks passed
@werkstattcodes
Copy link

many thanks for implementing the feature i had raised in #4174.!!

I was just giving it a try, and fail to understand how I can "top-align" the bars within a facet.
Currently, they are on the bottom of the facet.

Thanks again for all your contributions to ggplot2 and beyond!

@teunbrand
Copy link
Collaborator Author

You can use coord_cartesian(reverse = "y")

Sign up for free to join this conversation on GitHub. Already have an account? Sign in to comment

Labels

None yet

Projects

None yet

3 participants